
平衡流量計是一種新型的差壓式流量計,可適用于介質及工況要求的高精度流量計,可測雷諾數的范圍為 5000~1000000。平衡流量計的操作原理同其它類型的差壓流量計的工作原理相同,但與傳統節流裝置在管道中心開孔不同,平衡流量計在管道中心處開具節流孔,孔的分布及數量基于特殊的公式及多年的實驗數據,稱為函數孔。當流體穿過節流件的函數孔時,節流件就同時具有節流取壓和標準流場整流的雙重功能,因而渦流被小化,較大限度的將流場平衡調節成近似理想流體,因此測量精度較傳統節流裝置增加 5~10 倍,并大大節省儀表上、下游的直管段要求,小的直管段可低至 0.5D。
一、主要特性
平衡流量計是一種新型的差壓式流量計,可適用于介質及工況要求的高精度流量計,可測雷諾數的范圍為 5000~1000000。平衡流量計的操作原理同其它類型的差壓流量計的工作原理相同,但與傳統節流裝置在管道中心開孔不同,平衡流量計在管道中心處開具節流孔,孔的分布及數量基于特殊的公式及多年的實驗數據,稱為函數孔。當流體穿過節流件的函數孔時,節流件就同時具有節流取壓和標準流場整流的雙重功能,因而渦流被小化,較大限度的將流場平衡調節成近似理想流體,因此測量精度較傳統節流裝置增加 5~10 倍,并大大節省儀表上、下游的直管段要求,小的直管段可低至 0.5D。
二、流量計組成
CRD系列平衡流量計分兩種結構——一體式和分體式。一體式由一次阻流(傳感)元件、變送器和閥組組成,分體式除上述部件外還增加了引壓管線。

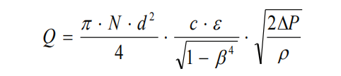
Q:體積流量
d:開孔直徑
N:孔數c:流出系數
ε:氣體壓縮系數
β:孔徑比ρ:流體密度 ΔP:差壓值
四、主要優勢1、量程比寬平衡流量計的量程較其它類型的差壓流量計大得多,正常情況下為10:1,若有需要可以加大。在雷諾數高于10000時,輸出信號為線性,若低于10000也可測量,但需根據流體狀況對輸出信號根據曲線進行修正。
2、直管段要求低伯努力方程要求受測流體為理想流體,在實際應用中這是根本不可能的,很多情況會造成流體分布不均勻。平衡流量計可在較為惡劣的情況下均橫流體分布,使儀表在惡劣的條件下獲得較高的測量精度,通常建議安裝時在前后留2D直管段。
3、可測量水氣壓縮空氣、飽和蒸汽等氣體采用孔板測量時,孔板前常有積水,影響測量精礦度。解決該問題的方法通常是將節流裝置安裝在垂直工藝管上,或改用圓缺孔板或偏心孔板。而多孔平衡節流裝置因其本身多孔的特點可以根本解決節流件前積水的問題,而又因為這是其固有的特點而不需要特制處理,所以不會對測量造成不確定性。
4、壓力損失低由于多孔均流,對流體阻礙小,因此平衡流量計的壓力損失比孔板低。另外由于信號穩定,平衡流量計的滿量程差壓值低,滿量程流量的差壓值可為4~5Kpa或小,這也使平衡流量計壓力損失可以較大限度地減小。
五、選型表